URGENT: People who received a flu shot this winter were MORE likely to get the flu, a major new study shows
Flu shots don't work. We need to stop pretending they do. They should be pulled from the market unless and until large, long-term placebo-controlled studies prove they're safe and effective.
A big new study has offered yet more evidence that flu shots do not work - and may sometimes even increase the chances people will get influenza.
With flu deaths in the United States soaring in 2025 despite aggressive vaccination efforts, when will public health bureaucrats admit the truth of their failure?
Adults who received a flu shot were 27 percent more likely to get the flu this winter, Cleveland Clinic researchers found. You read that right. Their risk was higher.
“We were unable to find that the influenza vaccine has been effective in preventing infection,” the researchers wrote, in a masterpiece of understatement.
—
(No understatement. No overstatement. Just the truth. For less than 20 cents a day.)
—
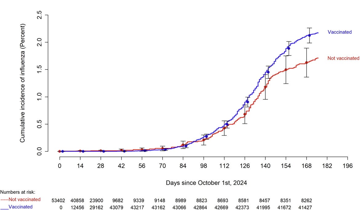
The study covered 53,400 adults in Ohio for six months, a big enough group that the results reached statistical significance, meaning they almost surely were not due to chance.
The researchers posted the results as a “preprint” on Friday, meaning their findings has not yet been subject to peer review. But the study design and outcome look solid.
They looked at influenza infections among Ohio-based employees at the Cleveland Clinic, which includes more than 55,000 workers at the flagship hospital, several smaller medical centers, and walk-in clinics.
The Clinic requires its employees to get flu shots, but about 20 percent claimed medical and religious exemptions and refused during the 2024-2025 flu season. So researchers could compare almost 44,000 people who received shots in the fall of 2024 with almost 10,000 who did not.
They found that by late March 2025, over 2 percent of people who had received the jab had a documented flu infection. Only about 1.5 percent of people who had not gotten the jab had an infection. The gap grew sharply during the last few weeks of the study.
The negative effectiveness remained even after the researchers adjusted for age, sex, where the employees worked, and whether they were nurses, who might be more exposed to the flu than other employees.
The researchers also found that unvaccinated and vaccinated people had positive test results at roughly the same rates, suggesting that higher flu rates in the vaccinated probably didn’t come from the fact that they were somewhat more likely to be tested.
—
(Not how it’s supposed to work)
—
About 72 percent of the employees were women, and their average age was 42, so they were a relatively young and healthy group — the people for whom the flu shot is theoretically most likely to be effective.
In their discussion, the researchers suggested they had no reason to believe their finding was not generalizable to adults everywhere in the United States.
This research is only the latest to suggest that flu shots simply do not work — and that any observational studies that seem to show their effectiveness are fatally flawed by what researchers called healthy vaccinee bias. (People who are vaccinated are historically healthier, more health-conscious, and more fearful of contagious illness and thus more likely to avoid situations where they might become infected than those who are not.)
Nationwide data is equally troubling.
As I reported in 2022, the number of flu shots has risen almost 15-fold in the United States since 1980, yet flu deaths have only increased. The Centers for Disease Control now says this year’s flu season might have been the deadliest in decades, with up to 130,000 deaths.
The media has been loathe to report that ugly number, since doing so might raise questions about both the effectiveness of flu jabs and whether Covid mRNA shots may have somehow damaged the immune systems of people who received them. At best, though, that figure suggests nothing we’re doing about the flu is working.
—
(Reporting what the legacy media will not. With your help.)
—
Yet public health authorities continue to push flu shots heavily.
In the absence of large, long-term placebo-controlled trials that compare infections, hospitalizations, deaths, and side effects in people who did not receive influenza “vaccines” to those who did, they are doing nothing but playing games with the health of the people they’re supposed to be serving.
They need to stop.
Now.
—
POSTSCRIPT: (Story from February about this year’s oddly nasty flu season)




While I'm happy this is the result of the study, what I took away was that very few people actually get the flu. Only 2% of the vaccinated and only 1 and 1/2% of the unvaccinated?
One more glaring example of why we no longer trust the public health authorities or the medical profession